next up previous
Next: 2 Poutre continue: Up: Correction du contôle de Previous: Correction du contôle de

Subsections

1 Poutre encastrée appuyée:

Le problème hyperstatique d'ordre 1, se décompose en deux problèmes isostatiques Pb0 et \( P_{b1}=Y_{A}\overline{P_{b1}} \).

1.1 Résolution des problèmes isotatiques

On calcule pour chaque problème:

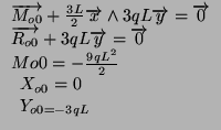
Attention aux notations: Mo:moment d'encastrement au point O, M0 : Moment pour le problème Pb0.

On choisit la décomposition suivante:

Problème 0 Problème \( \overline{1} \)
\resizebox*{0.48\textwidth}{!}{\includegraphics{pb0.eps}} \resizebox*{0.48\textwidth}{!}{\includegraphics{pb1.eps}}
\( \begin{array}{l}
\overrightarrow{M_{o0}}+\frac{3L}{2}\overrightarrow{x}\wedge...
...qL^{2}}{2}\\
\begin{array}{l}
X_{o0}=0\\
Y_{o0=-3qL}
\end{array}\end{array} \) \( \begin{array}{l}
\overrightarrow{\overline{M_{o1}}}+2L\overrightarrow{x}\wedg...
...{array}{l}
\overline{X_{o1}}=0\\
\overline{Y_{o1}}=-1
\end{array}\end{array} \)
\resizebox*{0.48\textwidth}{!}{\includegraphics{pb0_mom.eps}} \resizebox*{0.48\textwidth}{!}{\includegraphics{pb1_mom.eps}}
\( \begin{array}{l}
-\overrightarrow{M_{0}}+\frac{3L-x_{0}}{2}\overrightarrow{x}...
...ightarrow{R_{0}}+q(3L-x_{0})\overrightarrow{y}=\overrightarrow{0}
\end{array} \) \( \begin{array}{l}
x_{0}<2L\left\{ \begin{array}{l}
-\overrightarrow{\overline{...
...ghtarrow{\overline{R_{1}}}=\overrightarrow{0}
\end{array}\right.
\end{array} \)
\( \begin{array}{l}
M_{0=}q\frac{(3L-x_{0})^{2}}{2}\\
\begin{array}{l}
V_{y0}=q(3L-x_{0})\\
N_{0}=0
\end{array}\end{array} \) \( \begin{array}{l}
x_{0}<2L\left\{ \begin{array}{l}
\overline{M_{1}}=\left( 2L-...
...{l}
\overline{M_{1}}=0\\
\overline{V_{y1}}=0
\end{array}\right.
\end{array} \)
  \( \overline{N_{1}}=0 \)
\resizebox*{0.48\textwidth}{!}{\includegraphics{diagm0.eps}} \resizebox*{0.48\textwidth}{!}{\includegraphics{diagm1.eps}}

1.2 Calcul de l'inconnue hyperstatique

L'inconnue hyperstatique est donc:

\begin{displaymath}
Y_{A}=-\frac{\int ^{3L}_{0}M_{0}\overline{M_{1}}}{\int ^{3L}_{0}\overline{M_{1}}\overline{M_{1}}}\end{displaymath}

On ne peut pas simplement trouver \( \int ^{3L}_{0}M_{0}\overline{M_{1}} \) car les longueurs des abscisses des diagrammes (3L pour M0 et 2L pour \( \overline{M_{1}} \))ne correspondent pas, il faut faire le calcul à la main.

\( \int ^{3L}_{0}M_{0}\overline{M_{1}}=\int ^{2L}_{0}q\frac{(3L-x_{0})^{2}}{2}\left( 2L-x_{0}\right) dx_{0}=\frac{17qL^{4}}{3} \)

Par contre le calcul de \( \int ^{3L}_{0}\overline{M_{1}}\overline{M_{1}} \) se fait facilement en utilisant les intégrales de Mohr (Attention la longueur de l'abscisse est 2L)

\( \int ^{3L}_{0}\overline{M_{1}}\overline{M_{1}}=\frac{8L^{3}}{3} \)

On en déduit:


\begin{displaymath}
Y_{A}=-\frac{17qL}{8}\end{displaymath}

1.3 Calcul des réactions d'appui:

\( M_{o}=M_{o0}+Y_{A}\overline{M_{o1}} \) soit \( M_{o}=-3q\frac{L^{2}}{2}+\frac{17qL}{8}2L=\frac{11qL^{2}}{4} \)

\( Y_{o}=Y_{o0}+Y_{A}\overline{Y_{o1}} \) soit : \( Y_{o}=-3qL+\frac{17qL}{8}=-\frac{7qL}{8} \)

1.4 Calcul des sollicitations:

\( V_{y}=V_{y0}+Y_{A}\overline{V_{y1}}=q(3L-x_{0})-\frac{17qL}{8} \)

\( M=M_{0}+Y_{A}\overline{M_{1}}=q\frac{(3L-x_{0})^{2}}{2}-\frac{17qL}{8}\left( 2L-x_{0}\right) \)

\( V_{y}=q\left( \frac{7L}{8}-x_{0}\right) \) et \( V_{y}\left( 0\right) =\frac{7qL}{8} \), \( V_{y}\left( 2L\right) =-\frac{11qL}{8} \), \( V_{y}\left( \frac{7L}{8}\right) =0 \)

\( M\left( 0\right) =\frac{qL^{2}}{4} \), \( M\left( \frac{7L}{8}\right) =\frac{-17qL^{2}}{128} \) et \( M\left( 2L\right) =\frac{qL^{2}}{2} \)

\( V_{y}=V_{y0}+Y_{A}\overline{V_{y1}}=V_{y0}=q(3L-x_{0}) \)

\( M=M_{0}+Y_{A}\overline{M_{1}}=q\frac{(3L-x_{0})^{2}}{2} \)

\( V_{y}\left( 2L\right) =qL \) et \( V_{y}\left( 3L\right) =0 \)

\( M\left( 2L\right) =\frac{qL^{2}}{2} \) et \( M\left( 3L\right) =0 \)

On peut maintenant tracer les diagrammes. Il sont tracés dans l'hypothèse où q<0:



\resizebox*{0.6\textwidth}{!}{\includegraphics{diagVy.eps}}





\resizebox*{0.6\textwidth}{!}{\includegraphics{diagMf.eps}}




next up previous
Next: 2 Poutre continue: Up: Correction du contôle de Previous: Correction du contôle de
La Borderie 2002-09-20